香蕉视频免费观看,香蕉视频下载,香蕉黄色电影,香蕉视频APP污在线观看


文章详情

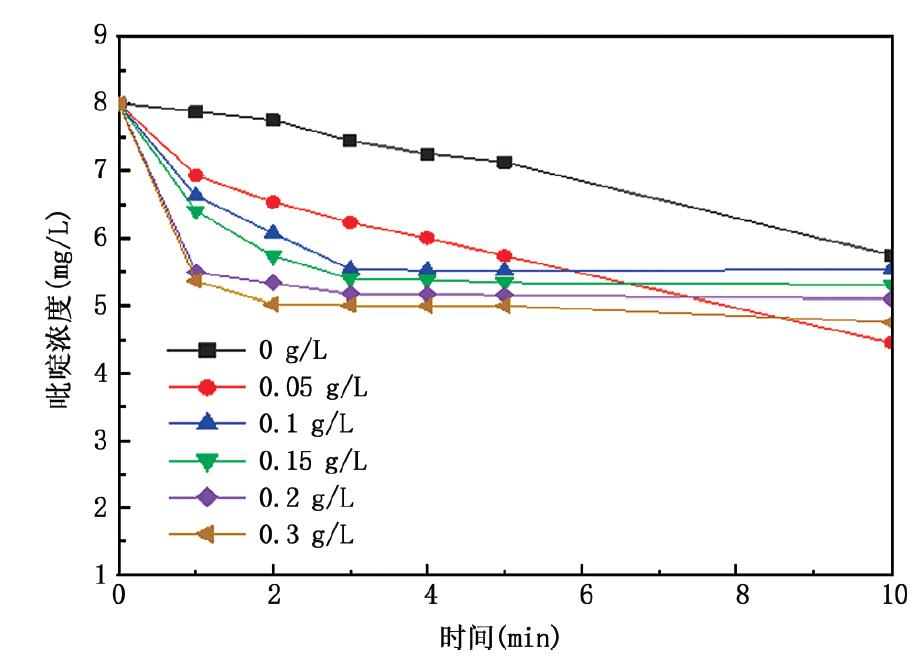
香蕉视频下载+粉末活性炭催化剂处理含吡啶废水实验


发布时间:2021-09-14 浏览次数:

订购电话:010-82461830 我要咨询

Copyright © 2017-2024 北京香蕉视频免费观看香蕉视频下载装置网 版权所有

电话:010-82461830   

地址:北京市海淀区SOCO公社

网站地图